Keep These Things in Mind with Your Bill of Sale Template
Looking for a bill of sale to use for your business? We’ve got a template ready to be customized for your needs today.
Download Template
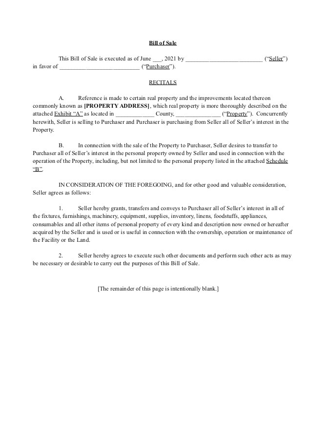
A bill of sale is a legal document that shows a sale has taken place. This document typically applies to buying a used item of high price, like a used car. It provides legal protection for both the buyer and the seller to show the sale took place and ownership transferred from one party to the next.
A bill of sale template can be helpful if you have never created one before. This guide will help you understand what should be included in your bill of sale.
Below We’ll Cover
- Basic Parts of a Bill of Sale
- Tips for a Bill of sale
- Types of Property That Require a Bill of Sale
- Links to Additional Resources
- Signing a Bill of Sale to Make It Legal
Basic Parts of a Bill of Sale
A bill of sale contains several parts. Makes sure the template you are considering has a place for each of these:
- Date of the sale
- Name and contact information for buyer and seller
- Asset description
- Selling price
- Guarantee about other claims and liens
- Warranty coverage
- Signature
Tips for a Bill of Sale
As you fill in a bill of sale document, make sure you are as detailed as possible. Here are some places where additional details can help.
- Asset description – Add everything you can here, including year, make, model, mileage, VIN, and license plate number for a vehicle. The more descriptive you can be, the less likely it will be that you have a dispute later.
- Selling price – List the selling price for the vehicle. If it is a gift, check the laws in your state about gifts and partial gifts, and make sure you list the selling price in line with the state laws.
- Payment method – Record the method of payment, such as check and check number, if applicable
- Special conditions – If there are any special conditions of the sale, include this information. For example, if the car comes with a warranty, include that information. If it is sold “as is,” then you will need to include that information.
After you have all of this information, have the necessary parties sign the bill of sale. Then, give a copy to both the buyer and the seller.
Types of Property That Require a Bill of Sale
Though bill of sale documents are common when selling cars, they are also needed when selling other high-price items that have a record of ownership. This includes animals, aircraft, appliances, exercise equipment, and recreational vehicles.
Links to Additional Resources
To learn more about signing a bill of sale or using a bill of sale template, visit these pages:
Signing a Bill of Sale to Make It Legal
Before you can be done with your bill of sale, it needs signing. Both the buyer and seller need to sign the document. In some states, a notary will also need to witness the signature and sign. You can use Nitro Sign to easily collect digital signatures to more quickly make your bill of sale complete. Sign up for a free trial of Nitro Sign today, or download your bill of sale template to get started.