" Get a Fixed Price Legal Representation Contract for Your Business

Advice When Using a Fixed Price Legal Representation Template

Looking for a fixed price legal representation contract to use for your business? We’ve got a template ready to be customized for your needs today.

Download Template
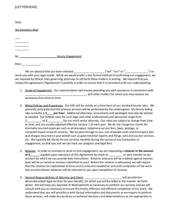
PDF Template - legal rep engagement letter hourly rate template.jpg

When engaging with a client for legal representation, attorneys need legally binding contracts to clearly outline what they are and are not going to offer. This important document makes expectations clear while also ensuring the attorney is protected against false claims or complaints.

In This Section, We’ll Cover:

  • Basic Contents of a Legal Representation Agreement Template
  • Clauses to Consider
  • Pitfalls to Avoid
  • Best Practices
  • Signatures and Initials

Basic Contents of a Legal Representation Agreement Template

In your legal representation agreement template, you need:

  • Names of both parties
  • Scope of Engagement
  • Fees and payment terms
  • How to end the attorney/client agreement
  • Signatures of both parties

Clauses to Consider

While you will need to customize your legal representation agreement contract to your business’s unique needs, there are certain clauses these documents usually contain. These include:

  • Scope of Engagement Clause – Here you can define the specific services you are going to deliver. Customize this with the services you perform for your client.
  • Billing Policies Clause – Make sure you get paid by clearly stating how you will bill and collect payment from your clients. This also gives you a space to reserve the right to increase your fees if the scope of the work changes. In this section, address if you are charging an hourly fee, contingency fee, or fixed fee.
  • General Responsibilities Clause – This clause tells that the attorney and the client will take on as responsibilities. Be sure to stipulate that the client needs to give you all the important details.
  • Other Terms – This area of the contract gives you space to outline any other terms and conditions that you need. In this section, you need to state that any changes to the contract must be made in writing and with the signature of both parties.

Pitfalls to Avoid

A legal representation agreement contract template is fairly simple, but you do need to be careful to avoid these common problems:

  • Not stipulating how the attorney is paid. Attorneys usually charge an hourly fee, but you can also consider a contingency fee or fixed fee arrangement if your legal services are relatively simple in nature.
  • Not setting boundaries. Make sure the contract clearly states how far your representation goes. Give yourself a way out if the case is not going the way the client wants it to.
  • Not addressing court representation. If your type of legal concern has the ability to go to court, make sure you stipulate who will be representing your client in court.

Best Practices for Legal Representation Agreement Templates

To make sure your legal representation agreement template is effective, consider these tips:

  • Keep it clear but simple. Too much information may overwhelm your client.
  • State when the attorney-client relationship ends. This statement may give the attorney or the client the right to end the relationship, but it must be clear.
  • Address how client files are handled and what cost the client must pay to get their files.
  • Get initials and signatures on all parts of the contract. Use Nitro Sign to make this part of the process easier and secure.

Gaining Signatures and Initials Legally and Ethically

To get signatures from your clients, you don’t have to meet in person. Nitro Sign makes collecting signatures easy, even remotely. You can securely send documents and collect digital signatures and initials on the contract through the system.Sign up to try it for free, and see how Nitro Sign can make your job as an attorney just a little easier.

Download Template

Relevant Templates

PDF Template - divorce settlement agreement template.jpg
Looking for a divorce settlement agreement template to use for your business? We’ve got a template ready to be customized for your needs today.
PDF Template - last will testament template.jpg
Looking for a last will and testament to use for your business? We’ve got a template ready to be customized for your needs today.
PDF Template - separation agreement template.jpg
Looking for an intellectual property agreement to use for your business? We’ve got a template ready to be customized for your needs today.